perfect numbers

 

home | courses | topics | theorems | starters | worksheets | timeline | KS3 | KS4 | KS5

   
 
           
                   

A number is perfect (or deficient   or abundant) as it is equal to (or less or more) than the sum of its aliquot parts (its factors). For example,

6 is perfect as 6=1+2+3;

8 is deficient as 8>1+2+4 or

12 is abundant as 12=1+2+3+4+6.

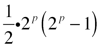
Euclid proved (in Elements IX, 36) that if and is prime, then   is perfect.   Some of the discovered perfect numbers are the following:

  • Nicomachus 6, 28, 496, 8128 (they all ended in 6 or 8).
  • Theon of Smyrna (c. 125 AD) 6 and 28 only.
  • Iamblichus (c. 325 AD) asserted that there is only one perfect number in each of the intervals 1, 10, 100, 1000, 10 000 etc., and the perfect numbers end alternately in 6 and 8. We now know that both of these statements are UNTRUE but you can find them repeated in the arithmetic of Boethius c. 510. It is believed that the authors from the Middle Ages and the Renaissance followed these two errors.

Fibonacci (1202) draw a rule whereby

  where   is prime

a rule which holds for all known perfect numbers.

The fifth perfect number is given as 33 550 336 in an anonymous manuscript in 1456-1461.

The Pythagoreans used this term in another sense, because apparently 10 was considered by them to be a perfect number.

Proposition 36 of Book IX of Euclid's Elements is:

"If as many numbers as we please beginning from a unit be set out continuously in double proportion, until the sum of all becomes a prime, and if the sum multiplied into the last make some number, the product will be perfect."

Perfect number appears in English in 1570 in Sir Henry Billingsley's translation of Euclid.

 

   

Mersenne's Primes and Perfect Numbers

See Eratosthenes' Prime Number sieve and download some worksheets: 100, 200 or 500 number sieve.

What people thought of primes through the history

Prime number (as the one defined by Aristotle, Euclid and Theon of Smyrna) is a number "measured by no number but by an unit alone" Iambilicus said that a prime number is also called "odd times odd".

Prime number was apparently first described by Pythagoras.

Iamblichus writes that Thymaridas called a prime number rectilinear since it can only be represented one-dimensionally.

In English prime number is found in Sir Henry Billingsley's 1570 translation of Euclid's Elements (OED2).

Some older textbooks include 1 as a prime number.

In his Algebra (1770), Euler did not consider 1 a prime [William C. Waterhouse].

Learn something more about perfect numbers by looking at abundant and deficient numbers page.

 

 

artefacts | numerals | concepts | people | places | pythagoreans | egyptians | babylonians

 

Google
Search WWW Search www.mathsisgoodforyou.com

_____________________________________________________________________________________________________________________

Acknowledgements | Copyright | Contact | Mission Statement | Tell a friend about this site